【摘要】就业是最基本的民生,事关人民群众切身利益,对政府信任度,乃至国家长治久安产生直接影响。文章基于2022年中国家庭追踪调查数据,对居民就业质量与地方政府信任间的关联进行深入探讨和剖析。实证结果发现:居民就业质量能够显著正向影响地方政府信任程度,居民就业质量每提高1单位,地方政府信任程度上升0.345单位;居民个人当前生活满意度、自我未来预期和自我社会地位感知,在就业质量与地方政府信任之间发挥中介作用;就业质量改善对农业户口、低学历、男性群体的地方政府信任程度提升影响更为显著。为有效提升地方政府信任程度,应尽快完善当前就业政策体系,持续提高劳动权益保障水平,构建公平包容的就业环境和社会环境。
【摘要】乡村旅游是推动乡村振兴的重要引擎,兼具产业转型、生态优化与文化传承等多重功能。文章系统阐释乡村旅游与乡村振兴的内在联系,分析其在激活乡村经济、改善人居环境、增强内生动力等方面的实践成效,深入剖析当前面临的产业联动薄弱、居民参与不强、文化传承乏力以及设施服务滞后等突出问题。从延伸产业链条、健全利益联结、深化文化赋能、完善设施服务等维度提出针对性对策,为推动乡村旅游高质量发展、实现与乡村振兴有效协同提供理论参考与实践借鉴。
【摘要】2025年,美国参议院通过了关于美元稳定币的“天才法案”,稳定币成为金融领域的热门话题。事实上,美元稳定币其实质是建立在美元这一基础货币之上的信用,稳定币并不是新生事物,在资本主义早期及更早之前,凡是由贵金属货币衍生出来的信用货币都可以看作贵金属的稳定币。一方面,USDT等数字货币市场稳定币有其积极的一面,能够大幅降低跨境交易的货币结算费用;另一方面,作为基础货币衍生出来的信用货币,稳定币的应用有其局限性,且任何一个稳定币系统都有其固有的制度缺陷,即稳定币系统在完全锚定(刚性兑付)、信用扩张(自由流动)和防止挤兑(系统稳定)这三个目标中只能实现其中两个目标。
【摘要】坚定实施扩大内需、促进消费战略是加快构建以国内大循环为主体、国内国际双循环相互促进的新发展格局的必然选择。依据现有研究以内外部最终需求作为切入点,以需求引致中间产品创新视角构建具有投入产出结构的两国开放经济体的一般均衡框架,并根据中国经济的双循环特征对最终产品消费需求所引致中间产品创新的渠道进行拆分。在此基础上,构建不同需求引致的本国中间产品创新渠道所形成的产业关联度指标以反映和比较内外循环中需求引致本国中间产品创新的效果,并利用2000—2014年度世界投入产出表数据进行了测算。考虑到受投入产出结构联动的影响,进一步的实证结果揭示了不同需求引致本国中间产品创新渠道的产业关联度对全球价值链分工位置的影响。结果表明:国内循环的消费需求引致本国中间产品创新渠道的产业关联对本国全球价值链分工位置的提升效果最好,但对制造业效果不显著而对服务业效果显著;国外循环的消费需求引致的中间品创新效应具有部分显著正向效应,表明外循环对内循环起到一定的补充作用;滞后消费需求引致本国中间产品创新渠道的产业关联对本国全球价值链分工位置的攀升则有显著的抑制作用。
【摘要】当前,全球范围内商业活力下降正成为各国面临的长期挑战。这一挑战主要表现为新企业进入率下降、市场垄断程度提升、初创企业就业份额和就业创造能力下降、技术前沿企业和落后企业生产率差距快速拉大等四方面。全球商业活力下降是新冠疫情暴发、企业融资难融资贵、数字化转型普及不足、人口老龄化加剧以及全球经济碎片化等多重因素叠加的结果。我国政府高度重视激发各类经营主体活力,需积极应对化解全球商业活力普遍下降带来的负面溢出效应。具体举措上,要以深层次结构性改革激发更大市场活力,以高质量创业激发更高层次企业家精神,以壮大中小企业规模培育更多微观主体,以加快数字化转型规模普及应用增强内生动力,短期助力经济增长和就业稳定,中长期促进全要素生产率提升和经济高质量发展。
【摘要】以ChatGPT为代表的认知大模型初步实现了向通用人工智能演进的“智慧涌现”,被公认为是人工智能发展史上一次重大技术跃进,已渗透经济活动的生产、分配、交换和消费各个环节。生成式人工智能技术发展不仅挑战现有经济理论,对经济学研究范式、企业组织模式、信息不对称、鲍莫尔“成本病”、经济增长典型事实等传统经济学理论产生颠覆性冲击,同时也对劳动力市场、收入分配等产生深度影响。为应对生成式人工智能对经济的影响和挑战,应着力推动隐私治理、知识产权保护和不平等治理,从而促进人工智能和经济社会协调发展。
【摘要】会计信息价值实现是资本市场有效运行的关键,法律机制为其提供了重要保障。以法律3.0演进机制为框架,公权与私权共治对会计信息价值实现具有显著促进作用。法律1.0机制通过事后惩戒恢复秩序,法律2.0机制通过事中监管维护秩序,法律3.0机制则通过事前机制构建预防风险的体系。法律3.0时代,公权治理凭借其强制力,与更具灵活性的私权治理相结合,能够整合双方优势,构建协同机制,推动公法与私法深度融合,同时探索技术创新在会计信息治理中的应用,为资本市场稳定运行提供更加坚实的制度保障,从而提升会计信息质量,保障投资者权益,促进资本市场健康发展。
【摘要】在场内外数据交易结合发展的背景下,入场成本成为不少市场主体难以跨越的门槛,导致“场外热、场内冷”的态势,加之监管制度、技术等尚处于起步阶段,导致当前数据交易极易出现监管漏洞。静态宏观监管模式附带的入场成本已成为企业参与场内交易的阻碍。为化解数据交易监管困境,应将动态微观监管模式作为补充,推动数据交易监管模式由单一化走向多元化。具体而言,应以监管的有效性为出发点,在确保企业合法经营的前提下,允许交易平台基于数据要素的流动性特征,对企业经营所涉及的流通环节进行个性化、特定化风险识别,并在此基础上开展交易监管,对业务未涉及的标准则容许适当放宽,从而降低交易成本,推动数据交易市场规范化发展。
【摘要】企业新质生产力的提升是经济高质量发展的必然要求,税收优惠是国家调控企业行为的重要工具之一。文章从理论和实证两个方面多角度研究税收优惠促进企业新质生产力发展的效应。研究发现:整体来说,税收优惠能够促进企业新质生产力的提升,但对新质生产力不同维度效果不同;税收优惠提升企业新质生产力的机理主要是缓解企业金融约束以及促进企业创新投入;税收优惠在企业所在区域、企业所有权性质、企业内部管理等方面具有异质性效应。鉴于此,提出如下政策建议:在已有税收优惠的基础上继续加大优惠力度,同时加强对新质劳动资料的考量;税收优惠应充分体现资金供给和创新激励的功能;面对不同特征的企业,税收优惠应有所差异。
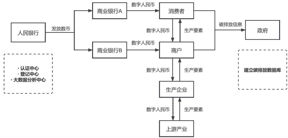
【摘要】碳账户作为碳减排资产记录和管理的账户,为不同的参与主体提供动态监测其碳减排量的工具。鉴于企业是当前我国碳排放的重要来源之一,文章选择企业碳账户为研究对象。目前企业碳账户自身业务存在统计数据获取和核算困难、应用场景和运营模式单一、数据隐私难以得到安全保障、无法实现跨部门协调等问题,而数字人民币依托区块链、分布式账本、双离线支付和加密算法等技术,可以有效解决企业碳账户中存在的问题。通过以数字人民币及相关技术为工具,对用户碳排放数据收集、整理、分析,构建一个全国性的统一记录碳排放数据的企业碳账户,打破不同平台、地域和不同类型的碳账户限制,实现不同企业间碳账户的互联互通。对此,政府应完善相关法律法规标准,推动碳账户和数字人民币建设,打破数据壁垒,完善碳足迹核算边界,建立统一的国内碳市场;形成以中国人民银行为主导,众多商业银行的共同参与的新格局;企业应确定绿色发展的战略方向,积极创新业务发展场景。
【摘要】绿色发展是我国高质量发展的重要组成。消费税具有调节属性,国际上有许多国家通过消费税来引导资源节约和环境保护。文章对发达国家消费税政策在促进绿色发展方面的税收实践进行梳理,发现其税制设计较为合理且多为专款专用。我国现行消费税在促进绿色发展方面仍有较大改善空间,存在征税范围窄、税率较低、对消费行为引导有限等不足。借鉴国际先进经验并结合我国国情和消费税政策现状,文章从扩大征税范围、调整税率、后移征收环节和各政策协同配合等多角度提出有利于促进绿色发展的消费税政策改革建议。
【摘要】政府引导基金作为政府出资并撬动社会资本共同推动创新与产业升级的重要政策工具,其对创新发展的影响已受到广泛关注,但现有实证研究尚未形成统一结论。文章基于现有实证文献,运用元分析方法系统检验政府引导基金的创新效应。研究发现,政府引导基金影响创新发展的文献不存在出版偏倚,政府引导基金的创新效应显著。政府引导基金对企业创新与区域创新均具有显著正向作用,且对企业创新的提升效应更强。文章进一步考察政府引导基金创新效应实证文献的异质性特征,并总结政府引导基金投资影响创新发展的分析框架。同时,深化政府引导基金影响创新发展的理论研究,为政府引导基金投资促进企业创新和区域创新提供参考依据。
【摘要】“专精特新”中小企业高质量发展需要强有力的政策体系引导和支持,进行专精特新政策文本量化研究能够为政策优化和调整提供决策依据,促进各地方政府执行专精特新政策精准发力。文章构建“工具-效力”二维分析框架,利用内容分析法和PMC 指数模型,对江浙鄂甘青宁等6个省份“十二五”以来的专精特新政策进行比较分析与评价。政策工具方面,六省份专精特新政策具有“同型异构”的特征,高度依赖具有直接推动作用的供给侧工具,对政策子工具的使用存在结构性张力,地区差异化特征也进一步反映出各省份“专精特新”中小企业的发展特点。政策效力方面,6个省份10份典型政策文本整体效力表现良好,个别政策在政策重点、产业导向等一级指标及部分二级指标设计上存在不同程度的凹陷,针对上述短板问题提出改进优化建议。